Periodic Table |
![]() |
![]() |
![]() |
![]() |
![]() |
![]() |
![]() |
| What is the Periodic Table Showing? | Periodicity |
The INTERNET Database of Periodic Tables
There are thousands of periodic tables in web space, but this is the only comprehensive database of periodic tables & periodic system formulations. If you know of an interesting periodic table that is missing, please contact the database curator: Mark R. Leach Ph.D. The database holds information on periodic tables, the discovery of the elements, the elucidation of atomic weights and the discovery of atomic structure (and much, much more).
The 10 most recent entries to the database:
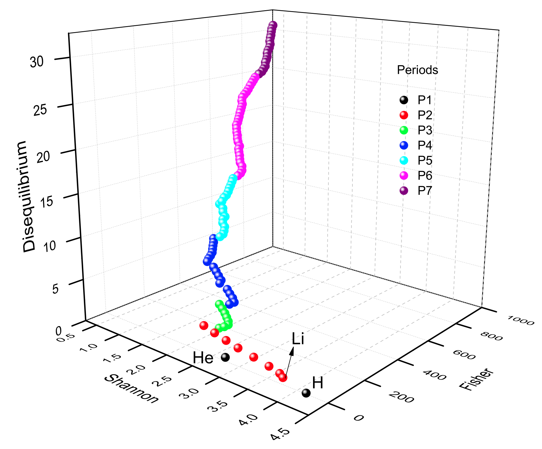
| Year: 2025 | PT id = 1404, Type = formulation 3D spiral |
Emergent Helicoidal Manifold Periodic Table
The Periodic Table as an Emergent Helicoidal Manifold: A Unified Information-Theoretic Analysis of the Atomic Elements Z = 1–10, by R.O. Esquivel, Quantum Rep. 2026, 8, 22 https://doi.org/10.3390/quantum8010022
Abstract
Here we perform a detailed information-theoretic (IT) analysis of atomic electron densities in the periodic table, from hydrogen (Z = 1) to lawrencium (Z = 103). By use of the Shannon entropy, the Fisher information and the disequilibrium functionals in both position and momentum spaces as fundamental descriptors of the atomic densities, the periodic table can be represented in a three-dimensional information space as a continuous, highly ordered manifold. The analysis shows that chemical periodicity naturally emerges as a helicoidal manifold (reminiscent of a helix) at the coordinates of a 3D theoretic-information space (Shannon, Fisher, Disequilibrium), with each period forming one segment within the continuous global trajectory. We find information-theoretic signatures of shell structure, sub-shell filling, and electron-configuration anomalies, such as the familiar irregularities seen in chromium and copper. Therefore, the helicoidal character emerges naturally and is not imposed a priori.

Thanks to Eric Scerri for the tip!
| Year: 1902 | PT id = 1403, Type = formulation |
Armstrong's Classification of The Elements
Henry Edward Armstrong; The classification of the elements. Proc. R. Soc. 30 September 1902; 70 (459-466): 86–94. https://doi.org/10.1098/rspl.1902.0012
Abstract:
Although no direct evidence acceptable to chemists has been adduced which in any way justifies the belief that the elements are decomposible, it is impossible to resist the conclusion that they are genetically related, so closely in many respects do they resemble a series of related compounds, especially when regarded from the point of view of the organic chemist. The generalisation known as the Periodic Law is in itself a justification of this view: the manner in which interrelationship becomes manifest when they are classified in accordance with its canons, being probably the strongest of all the arguments which can be cited as tending to show that the elements are compounds—but compounds very different from those with which we are accustomed to deal. Even in the form in which it was put forward by Mendeleeff, however, the periodic generalisation is but a first approximation: and the great Russian has himself pointed out that it needs improvement and development. As chemists are beginning to recognise this, I venture to submit a scheme of classification which I have been led to draw up in writing an article for the forthcoming Supplement to the ‘Encyclopedia Britannica.’ The article, I may say, was sent to press in May, 1900 and the first proof before me is dated November 20, 1900.

| Year: 1893 | PT id = 1402, Type = formulation weight |
Deeley's New Diagram and Periodic Table of The Elements
R. M. Deeley's 1893 publication, A new diagram and periodic table of the elements, was published in the Journal of the Chemical Society, Transactions (Vol. 63, pp. 852–867).
Key Features of Deeley's 1893 Periodic Table:
- Structure: Deeley proposed a table consisting of nine columns (or groups).
- Arrangement: The table sought to arrange the elements more in accordance with their physical and chemical properties than previous attempts.
- Design Specifics: The Lithium (Li) and Sodium (Na) periods were read from right to left.
- Diagrammatic Representation: The paper included a diagram plotting atomic weights against "atomic volumes" (or other physical properties) to show the periodicity of the elements.
- Series and Curves: Deeley suggested that the elements lie along a curve (similar to those produced by Lothar Meyer) and suggested that there are several lines for the same series with fixed inclinations to one another.
This work aimed to address some of the irregularities found in earlier periodic classifications, particularly regarding the properties of elements with lower atomic weights, by visualizing the periodicity through a specific diagrammatic layout.



| Year: 1883 | PT id = 1401, Type = formulation |
Gretschel & Bornemann
H. Gretschel and G. Bornemann, "Das natürlische System der Elemente", Jahrbuch der Erfindungen, 19th Jahrgang, pp. 241-306 (Oct., 1883).
This formulation is cited by Quam & Quam (1934) and redrawn by Mazurs (1957).
Image from The Science History Institute.

| Year: 1816 | PT id = 1400, Type = structure weight |
Prout's Hypothesis
Prout’s hypothesis, Annals of Philosophy, vol. 7, 1816
In his 1816 Annals of Philosophy paper, William Prout proposed that the atomic weights of all elements are exact integer multiples of hydrogen's weight. He suggested hydrogen was the fundamental "protyle", or building block, of all matter, a hypothesis that, despite challenges from fractional measurements, anticipated the concept of atomic composition via protons and neutrons. Prout's hypothesis remained influential in chemistry throughout the early 1800s.
Read more in Wikipedia and Scientist of The Day.

| Year: 1948 | PT id = 1399, Type = formulation |
Smith's Periodic System & Occlusion
Smith DP 1948, Hydrogen in metals, University of Chicago Press, Chicago, p. xi
René Vernon, who provided this PT, comments:
- Note the modern group numbering system along the base, four decades before IUPAC mandated the 1 to 18 system.
- Be-Mg over Zn.
- The actinides as transition metals.
- The rare earth metals as collectively occupying the position under Y.
- Xenon as X.
- I presume the rare earth metals would otherwise be referred to as the D-metals.

Thanks to René for the tip!
| Year: 1962 | PT id = 1398, Type = formulation |
Rinck & Feschotte's Tableau Périodique Proposé
Rinck, E and Feschotte, P. Periodic Classification and The Proust Law. Bull. soc. chim. France, vol. Vol: No. 4, Apr. 1962.
Abstract (Google Translate from French):
Advances in our understanding of the solid state have led to the identification of numerous crystalline phases whose composition is not defined by Proust's law. The rigorous validity of this law, however, served as the starting point for atomic theory: it continues to be used in the measurement of atomic weights and remains valid for the vast field of organic chemistry. The search for the limits of Proust's law's validity leads to certain peculiarities of the metallic state that are closely linked to the periodic table of elements.
A new arrangement in the periodic table, allowing for the first time the integration of rare earth elements and giving hydrogen a very special place, accounts for a distinction between true metals and earth metals. This distinction is necessary because Proust's law, valid for combinations between metalloids and earth metals, is no longer always followed when these same metalloids combine with true metals. Finally, this law loses all meaning in alloys of true metals. The exceptions to this rule are explained by the specialization of chemical properties that occurs when moving from short to long half-lives. Hydrogen and the metals of short half-lives are considered undifferentiated elements, potentially possessing contradictory chemical and even physical properties. Using a perspective borrowed from embryology thus allows for a better understanding of the relationships between these properties.
René Vernon, who provided this PT, writes that "R&F's table shows two extra elements marked as alpha and beta.

Thanks to René for the tip!
| Year: 2026 | PT id = 1397, Type = formulation review 3D |
Spin and The Forth Dimension
A paper (click to view pdf) by V.V. Varlamov of Siberian State Industrial University, Novokuznetsk, Russia who writes:
"A group-theoretic interpretation of the periodic system of elements is given within the framework of the weight diagram of the Lie algebra SO(4,4) of the fourth rank, where the four quantum numbers n, l, m, scorrespond to the eigenvalues (weights) of the Cartan generators of the maximal Abelian subalgebra (the maximal torus of the group SO(4,4)). Etc."

The paper generates a Janet Left-Step formulation:

Thanks to Eric Scerri for the tip!
| Year: 2026 | PT id = 1396, Type = element structure review |
Quest To Understand Where Atoms End
By Philip Ball in Chemistry World, who writes:
"There is no consensus. 'We have some models and theories [of atomic size] but none have been really amenable to experimental verification,' says Amin Alibakhshi at the Technical University of Dortmund in Germany. 'That’s why we have many different definitions, like van der Waals radii, covalent radii, and so on.' But is each of these definitions in the end a rather arbitrary attempt to carve up the smooth and continuous electron density so that it seems to have hard edges? Or might there be, after all, some deeper and more objective meaning to the size of an atom?"

| Year: 1995 | PT id = 1395, Type = misc |
Politically Correct Periodic Table of the Elements
By Robert Rose of MIT, appearing in the I2R calendar. (We guess the date at 1995.)
From Craigslist:
"Instruments for Research and Industry, better known to scientists as I2R (eye-squared-are), was founded in the 1960s. Soon after, they started offering humorous, science and research themed calendars as part-catalog, part-advertising, part-promotional and completely entertaining material. I2R was a 'Profits for Peace' company. I2R donated a portion of their profits to charitable causes. (The time was the 1960s - 1970s, the Vietnam War era. I2R estimated how much of their business taxes were going to the Department of Defense and then they offset that with donations to charitable causes.)"
Text:
"To protect the health and weltare of the general public, we must eliminate all sources of toxicity, pollution and radloactivity. Isotopes and artificial elements should not be tolerated, nor should sources of greenhouse gases or causes of hypertension. Sexist nomenclature has no place in modern society. These requirements can be satisfied by making the indicated revisions to the periodic table of the elements.
"This whimisical Periodic Table of the Elements first appeared in the Journal of Irreproducible Results. It is reprinted (slightly edited) here."
The PC-PT identifies:
- T: Toxic Elenents
- S: Sexist Nomenclature
- G: Greenhouse Gas Source
- R: Radioactive Elements (not permitted)
- H: Hazardous Element (raises blood pressure)
- H: Halogens (not permitted)
- A: Artificial Elements (not permitted without prior approval)

Thanks to Eric Scerri for the tip!
![]() |
![]() |
![]() |
| What is the Periodic Table Showing? | Periodicity |
© Mark R. Leach Ph.D. 1999 –
Queries, Suggestions, Bugs, Errors, Typos...
If you have any:
Queries
Comments
Suggestions
Suggestions for links
Bug, typo or grammatical error reports about this page,please contact Mark R. Leach, the author, using mark@meta-synthesis.com
This free, open access web book is an ongoing project and your input is appreciated.






